2024年MTCLED驱蚊虫照明汉江实验,并取得良好数据成果。
MTCLED

2024 年,MTCLED 照明公司在蚊虫活跃度高的汉江边,开展了一场针对性实验,核心是对比两款分别采用不同光源的捕虫器实际效果 , 一款搭载MTC公司专利的驱蚊虫照明光源,另一款则使用普通照明光源。
实验团队在汉江沿岸挑选了 10 个生态环境高度一致的监测点,每两个监测点为一组,每组内分别放置上述两种捕虫器。这些捕虫器除光源不同外,外观、尺寸、内部捕虫结构均保持一致,且每组捕虫器间距控制在 10 米内,确保处于相同的蚊虫活动环境中。
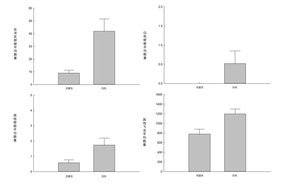
连续 30 天的监测数据呈现出显著差异:搭载 MTC 驱蚊虫照明光源的捕虫器,平均每天捕获蚊虫 790.04只;而使用普通照明光源的捕虫器,平均每天捕获量高达 1243.12只。
MTCLED



从时段来看,MTC 驱蚊虫照明光源捕虫器平均每小时捕获 32.9 只,普通照明光源捕虫器则为 51.79 只,前者捕获量仅为后者的 62.7%;对捕获蚊虫种类分析发现,普通照明光源捕虫器吸引的东洋蜉蝣、白色蜉蝣远高于MTC驱蚊虫照明捕虫器,且数量远高于前者 ,且MTC 驱蚊虫照明光源捕虫器捕获白色蜉蝣为0只。
实验结果清晰表明,MTC 驱蚊虫照明光源制成的捕虫器,在吸引蚊虫数量上远低于普通照明光源制成的捕虫器,充分体现了其驱蚊虫照明技术在减少蚊虫吸引方面的显著功效。